Kapitola2
Logická hradla a obvody
V předchozí kapitole 1 byly představeny nejdůležitější elementární logické funkce jedné a dvou proměnných. Protože tyto základní funkce se používají pro realizace logických obvodů, jsou v praxi vyráběny ve formě diskrétních logických hradel (obvykle jako integrované obvody). Pro teoretický návrh a nákres logického obvodu pak pro ně byly zavedeny standardizované obvodové značky.
Definice
Logické hradlo (logický člen) představuje obvodovou realizaci dané elementární logické funkce.
V původní české literatuře se v současné době můžeme setkat s obvodovými značkami dle příslušné normy ČSN. V praxi je ale obvyklejší značení dle mezinárodní normy ANSI, se kterým se můžeme setkat také v zahraniční literatuře, ale často i v jejích českých překladech.
Definice
Negaci v logickém obvodu (např. negovaný výstup či vstup hradla) obvykle znázorňuje kroužkem.
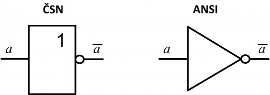
Z funkcí jedné proměnné je nejdůležitější a v obvodech nejpoužívanější negace, obvykle označovaná jako hradlo invertor. Značení hradla invertoru dle ČSN i ANSI normy představuje následující obrázek.
+

Obr. 2. Značka logické funkce negace (hradlo invertor)
Dále v návaznosti na pořadí elementárních funkcí dvou proměnných v předchozí kapitole 1 následuje obvodová značka hradla logického součinu (konjunkce), v praxi označované jako hradlo AND. Jeho symbol nalezneme na obrázku 3.
+

Obr. 3. Značka funkce logický součin (hradlo AND)
K ní opačnou, tj. negací, je funkce negovaného logického součinu, tzv. hradlo NAND znázorněné na obrázku 4.
+

Obr. 4. Značka funkce negovaný logický součin (hradlo NAND)
Jak bylo zmíněno výše, značka hradla NAND se od značky hradla AND liší pouze přidáním negace (kroužku) na výstupu hradla.
Další elementární funkcí uvedenou v předchozí kapitole 1, byl logický součet (disjunkce), jehož hradlo OR znázorňuje obrázek 5.
+

Obr. 5. Značka funkce logický součet (hradlo OR)
Adekvátně k předchozí dvojici hradel AND – NAND, i značku funkce negovaného logického součtu, tj. hradlo NOR, vytvoříme přidáním negace – kroužku k výstupu hradla OR, jak ukazuje obrázek 6.
+

Obr. 6. Značka funkce negovaný logický součet (hradlo NOR)
Poslední dvojicí elementárních logických funkcí představených v předchozí kapitole 1 je funkce neekvivalence a její negace, funkce ekvivalence. Značku funkce neekvivalence, tj. hradla XOR, nalezneme na obrázku 7.
+

Obr. 7. Značka funkce neekvivalence (hradlo XOR)
A k ní její negaci, funkci ekvivalence, tj. hradlo XNOR na obrázku 8.
+

Obr. 8. Značka funkce ekvivalence (hradlo XNOR).
Souhrn
Jak lze odvodit z porovnání značek pro jednotlivé elementární logické funkce, jsou značky v normě ČSN založeny na obdélníku, v jehož pravém horním rohu se mění symbol dle typu logické funkce: & – logický součin, 1 – logický součet, = 1 – neekvivalence. Zatímco způsob vytváření značek logických funkcí v normě ANSI vychází z použití oblouků a zaoblených čtyřúhelníků.
Znázornění negace je v obou normách stejné – pomocí kroužku.