3.3.1
Určení sumy výkonových momentů Σ(P.l)
Součet výkonových momentů lze určit buď adicí, nebo superpozicí. Obě metody vedou ke stejnému výsledku, jiný je jen postup.
- Metoda ADICE: sčítáme výkony a násobíme odpovídající délkou, viz obr. 11. Tato metoda je výhodná, pokud si na začátku řešení sestavíme výkonovou bilanci (rozložení výkonu na vedení). [kW.m].
Obr. 11. Znázornění výpočtu Σ(P.l) metodou adice
- Metoda SUPERPOZICE: sčítáme délky a násobíme příslušným výkonem, jak je naznačeno na obr. 12. [kW.m].
Obr. 12. Znázornění výpočtu Σ(P.l) metodou superpozice
Toto vedení je nejjednodušší. Vedení s tzv. osamělými odběry je nakresleno na obr. 13. Mohou se vyskytnout dvě zadání: buď zjišťujeme úbytek napětí na takovém vedení, nebo potřebujeme navrhnout správný vodič dle dovoleného úbytku napětí.
Obr. 13. Vedení zatížené osamělými odběry
Výpočet úbytku napětí pro zadaný vodič:
- vyhledáme činný odpor vedení RK pro zadaný vodič (tab. 1, nebo samozřejmě můžeme použít katalog vodiče),
- spočítáme Σ(P.l) adicí nebo superpozicí,
- dosadíme do vztahu pro úbytek napětí.
Návrh vodiče pro dovolený úbytek napětí:
- spočítáme Σ(P.l) adicí nebo superpozicí,
- ze vztahu pro úbytek napětí vyjádříme odpor vedení RK,
pro třífázové vedení [Ω/km], popř. pro jednofázové vedení [Ω/km],
- v tab. 1 nalezneme příslušný vodič s nejblíže nižší hodnotou RK.
Ve výpočtech obvykle dosazujeme P v kilowattech, l v metrech a dostaneme RK v [Ω/km].
Velmi zjednodušeně bychom mohli potřebný průřez spočítat též aplikací základních vztahů:
[V],
z toho
[mm2], kde
ρ je měrný odpor vodiče [Ωmm2m-1],
S je průřez vodiče [mm2],
l je délka vodiče [m].
Skutečný průřez bychom volili jako nejbližší vyšší z řady vyráběných. Tento způsob je značně nepřesný i z toho důvodu, že měrný odpor obvykle známe pro teplotu 20 ºC, ale správně bychom měli použít hodnotu pro provozní teplotu. V tabulce 1 již jsou hodnoty přepočítané na teplotu 60 ºC.
Na obr. 14 je nakresleno vedení s tzv. rovnoměrným odběrem a znázorněno jeho zjednodušení. Rovnoměrný odběr může představovat např. pouliční osvětlení, tedy po určité vzdálenosti se pravidelně opakuje stejný odběr (vždy po x metrech se opakuje odběr P kilowattů). Takový odběr řešíme tím, že ho nahradíme jediným celkovým odběrem (ΣP) přesunutým do těžiště celkové vzdálenosti (l/2).
Obr. 14. Rovnoměrný odběr
Příklad
Příklad 1: Příklad na výpočet velikosti úbytku napětí
Vypočítejte procentní úbytek napětí vedení dle obr. 15. Vedení je napájeno střídavým napětím U = 3 x 230/400 V, vodiče jsou z hliníku o průřezu S = 35 mm2.
Obr. 15. Příklad 1 – zadání
Zobrazit řešení
Skrýt řešení
Řešení
Nahradíme rovnoměrný odběr jediným celkovým odběrem, který umístíme do těžiště vzdálenosti dle obr. 16. Ostatní odběry i délky se nemění.
Obr. 16. Příklad 1 – řešení
V tab. 1 najdeme pro Al vodič s průřezem 35 mm2 jeho odpor na 1 km RK = 0,88 Ω∙km-1.
Spočítáme Σ(Pl) např. adicí:
kWm
Dosadíme do vztahu pro úbytek napětí
%
Δu = 15,92 %
Příklad
Příklad 2: Příklad na návrh vodiče dle dovoleného úbytku napětí
Navrhněte průřez měděného vodiče pro vedení dle obr. 17. Vedení je zatíženo kombinovaným odběrem, U = 230 V~, maximální dovolený úbytek napětí na vedení je 10 %.
Obr. 17. Příklad 2 – zadání – návrh průřezu vodiče
Zobrazit řešení
Skrýt řešení
Řešení
Řešení:
Náhradní celkový odběr za rovnoměrný
.
Tento odběr přesuneme do jeho těžiště (polovina délky rovnoměrného odběru), což je 75 m od začátku vedení. Ostatní vzdálenosti dopočítáme, viz obr. 18. Ostatní odběry se nemění.
Obr. 18. Příklad 2 – řešení – návrh průřezu vodiče
Spočítáme součet výkonových momentů, např. superpozicí:
Spočítáme odpor vodiče na km délky, za Δu dosadíme maximální povolený úbytek 10 %:
[Ωkm-1].
Nejbližší nižší hodnota odporu pro Cu vodič je RK = 0,87 Ω/km pro průřez 25 mm2 (tab. 1).
Zvolíme tedy vodič s průřezem 25 mm2.
3.3.3
Řešení rozvětvených sítí napájených z jedné strany
V rozvětveném vedení nesmí úbytek napětí na žádném z koncových bodů sítě přesáhnout dovolenou hodnotu. Na začátku opět určíme součet výkonových momentů. Můžeme buď spočítat Σ(P∙l) pro celá vedení od napájecích bodů po koncové body, nebo Σ(P∙l) počítáme pro každou část vedení zvlášť a pak hodnoty sečteme dohromady. Pro největší Σ(P∙l) pak vypočteme úbytek napětí. V žádném jiném místě vedení nemůže být úbytek větší.
Výpočty si usnadníme, pokud si nejprve sestavíme výkonové rozdělení (bilanci výkonů).
Pro rozvětvené vedení je možné použít jeden průřez vodiče navržený dle větve s největším úbytkem napětí (největší součet výkonových momentů).
Pokud bychom chtěli v zájmu úspornosti vedení odstupňovat, bylo by možné navrhnout nejprve průřez tzv. hlavního vedení (vedení s největším výkonovým momentem) a potom dopočítat průřezy zbývajících odboček od hlavního vedení. Tento způsob návrhu vedení nn se ovšem v praxi využívá pouze výjimečně, proto ho zde podrobně předvádět nebudeme.
3.3.4
Řešení sítí napájených ze dvou a více stran
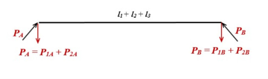
Na vedení, které je napájené ze dvou (případně více) stran, existuje bod (body), ve kterém (ve kterých) se stékají napájecí výkony (proudy). Právě tento bod (body) hledáme, protože v něm (v nich) je největší úbytek napětí. Pak vedení v tomto bodě rozpojíme a řešíme jen jednu část jako vedení napájené z jedné strany. Nejprve obvykle vedení zjednodušujeme, abychom dostali co nejjednodušší vedení. Jednotlivé metody si ukážeme na následujícím obr. 19.
Obr. 19. Vedení napájené ze dvou stran
Klíčové je určení napájecích výkonů, abychom mohli začít hledat bod největšího úbytku napětí. K tomu můžeme použít několik metod:
- Metoda stejného výkonového momentu:
Moment výkonu všech odběrů (v našem případě P1 a P2) k bodu A je roven momentu napájecího výkonu v bodě B (PB) k bodu A. A zároveň moment výkonu všech odběrů k bodu B je roven momentu napájecího výkonu v bodě A (PA) k bodu B. Dle tohoto pravidla můžeme sestavit rovnice dle obr. 20.
Moment napájecího výkonu v bodě A (PA) k bodu B: PA.(l1 + l2 + l3),
Moment napájecího výkonu v bodě B (PB) k bodu A: PA.(l1 + l2 + l3),
Součet momentů odběrů P1 a P2 k bodu B: P1.(l2 + l3) + P2.l3,
Součet momentů odběrů P1 a P2 k bodu A: P1.l1 + P2.(l1 + l2),
Sestavíme rovnice: PA.(l1 + l2 + l3) = P1.l1 + P2.(l1 + l2), PA.(l1 + l2 + l3) = P1.(l2 + l3) + P2.l3,
Vyjádříme z nich napájecí výkony PA a PB:
[kW], [kW].
Obr. 20. Určení napájecích výkonů metodou stejného výkonového momentu
- Redukce zátěže do krajních bodů:
Zátěž zredukujeme do napájecích bodů při dodržení podmínky, že Σ(P∙l) zůstane stejná vzhledem k napájecím bodům. Tím vlastně vedení odlehčíme. Momenty jednotlivých odběrů přitom vždy vztahujeme k protějšímu bodu, než je napájecí výkon, který určujeme. Každý z odběrů poskytne určitý příspěvek do obou krajních bodů. Příspěvky od všech odběrů pak v krajních bodech vždy sečteme. Vedení po redukci ukazuje obr. 21. Po provedení redukce dostaneme stejné vztahy jako v předchozím.
, , ,
, , .
Obr. 21. Určení napájecích výkonů metodou redukce zátěže do krajních bodů
- Spojení napájecích bodů a řešením smyčky:
Spojíme napájecí body a řešíme smyčku. Vyjdeme z II. Kirchhoffova zákona. Protože jednotlivé úbytky napětí ve smyčce jsou přímo úměrné součtu výkonových momentů Σ(P∙l), musí být i součet výkonových momentů v uzavřené smyčce roven nule. Dostaneme tak jednu rovnici pro jednu neznámou PA (příp. PB): .
Přeměnu vedení napájeného ze dvou stran na smyčku ukazuje obr. 22. Jsou v něm též zakresleny výkony tekoucí jednotlivými úseky, které použijeme pro sestavení rovnice dle II. Kirchhoffova zákona.
Obr. 22. Metoda smyčky
Příklad
Příklad 3: Určete napájecí výkony a zjistěte místo největšího úbytku napětí na vedení dle obr. 23. Řešte:
a) metodou smyčky,
b) redukcí odběrů do krajních (napájecích) bodů.
Obr. 23. Příklad 3 – zadání
Zobrazit řešení
Skrýt řešení
Řešení
a) Metoda smyčky:
Spojíme napájecí body A a B dle obr. 24, vyznačíme napájecí výkony.
Obr. 24. Řešení příkladu 3 metodou smyčky
Sestavíme rovnici dle II. Kirchhoffova zákona Σ(P∙l) = 0 např. pro PA:
Rovnici vyřešíme a dostaneme napájecí výkon PA = 32,27 kW.
Napájecí výkon PB můžeme spočítat obdobně, když si ho vyznačíme ve smyčce (půjde na druhou stranu než PA), sestavíme rovnici Σ(P∙l) = 0 s použitím PB a vyřešíme ji.
Součet napájecích výkonů PA a PB se musí rovnat součtu všech odběrů na vedení.
PB = 32,73 kW
PA + PB = 32,27 + 32,73 = 15 + 10 + 40 = 65 kW
b) Metoda redukce odběrů do krajních (napájecích) bodů
Příspěvky od jednotlivých odběrů do bodu A vztahujeme vždy k protějšímu bodu B, tedy násobíme příslušný odběr jeho vzdáleností k bodu B, dělíme celkovou délkou:
,
,
.
Celkový náhradní odběr v bodě A rovný napájecímu výkonu PA dostaneme sečtením dílčích příspěvků od jednotlivých odběrů:
.
Příspěvky od jednotlivých odběrů do bodu B vztahujeme vždy k protějšímu bodu A, tedy násobíme příslušný odběr jeho vzdáleností od bodu A, dělíme celkovou délkou:
,
,
.
Celkový náhradní odběr v bodě B rovný napájecímu výkonu PB dostaneme sečtením dílčích příspěvků od jednotlivých odběrů:
.
Je vidět, že oběma metodami jsme dostali stejné výsledky pro napájecí výkony.
Pro další řešení doplníme výkony do vedení a dostaneme výkonovou bilanci, určíme místo, kde se výkony stékají (bod X), viz obr. 25. Tento bod je bodem největšího úbytku napětí.
V bodě X vedení rozpojíme a řešíme jako vedení napájené z jedné strany, jak je vidět též na obr. 25.
Obr. 25. Určení místa největšího úbytku napětí na vedení napájeném ze dvou stran
Poznámka
V praxi se využívají pro návrhy sítí nn různé počítačové programy, kde lze nastavit výchozí podmínky, volit jistící a další přístroje. Lze též využít např. maticovou metodu apod.














